이전 글에서는 아호코라식 알고리즘의 검색 과정에 대해서 알아보았다.
[아호코라식 (Aho-corasick) 알고리즘] 논문 이해하기 (1) - 검색 과정
아호코라식 알고리즘은 문자열을 검색하는 알고리즘이다. 검색할 단어가 10개 일 때 검색 대상 문자열도 일일이 10번 탐색하는 게 아니라 찾을 검색어가 아무리 많아도 한 번만 탐색하여 결과를
elsboo.tistory.com
이번 글에서는 아호코라식이 구성하는 세 개 함수 goto(), output() , failure() 의 데이터를 구축하는 법에 대해 알아보자
함수 데이터는 어떻게 만들까?
goto()
검색 대상 단어들 [he, she, his, hers] 을 Trie 자료구조로 표현하는 게 목표이다.
문자 하나를 간선(-), 문자의 state 를 정점(○)으로 표현하면 아래와 같이 그릴 수 있다.
① he (he, she, his, hers)
state 는 0 부터 시작해서 1씩 증가한다.

② she (he, she, his, hers)
state 0 에서 시작하는 길이 h 밖에 없으므로 s 로 시작하는 라인을 추가한다.

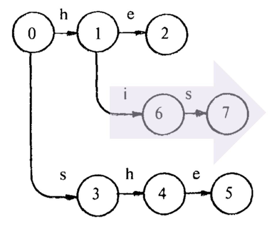
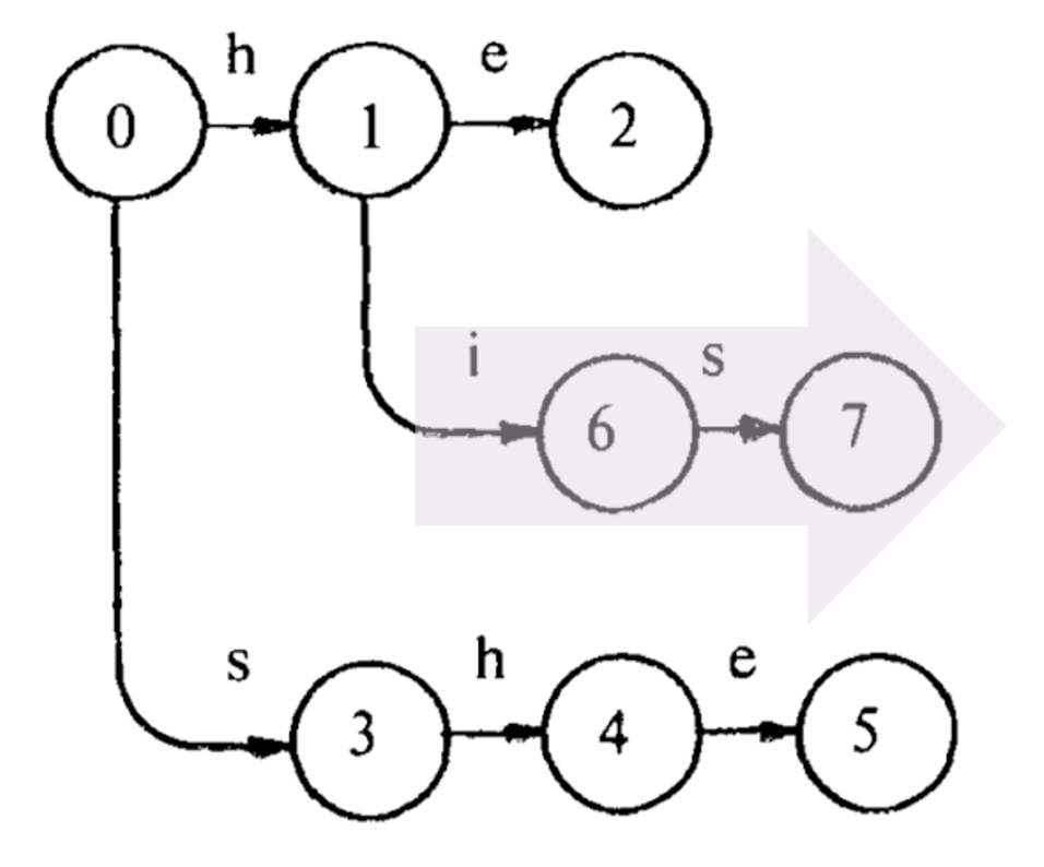
③ his (he, she, his, hers)
state 0 에서 h 로 시작하는 간선이 이미 있다. state 1 에 이어서 다음 i, s 를 추가한다.

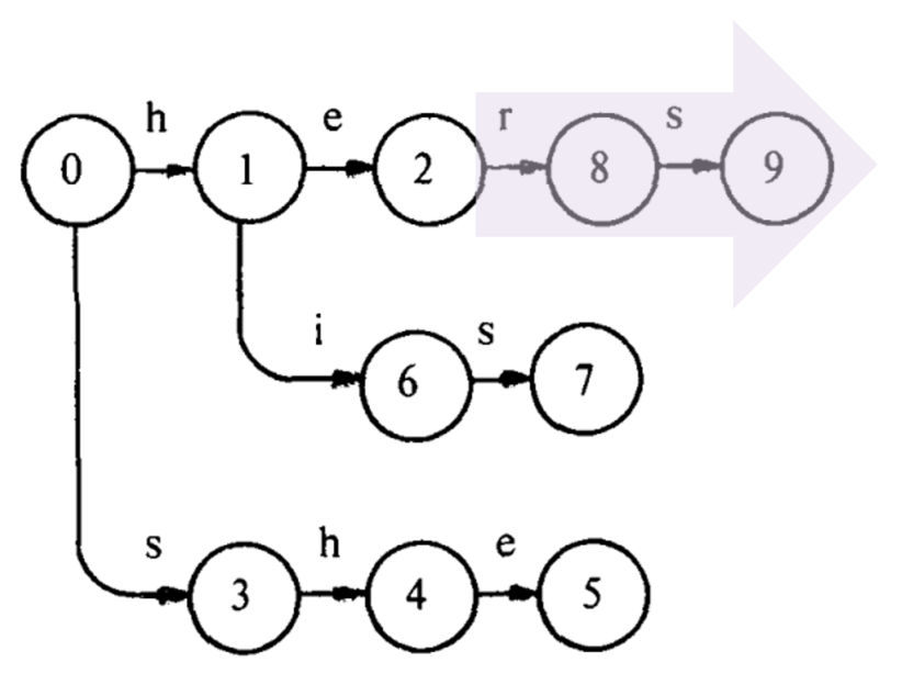
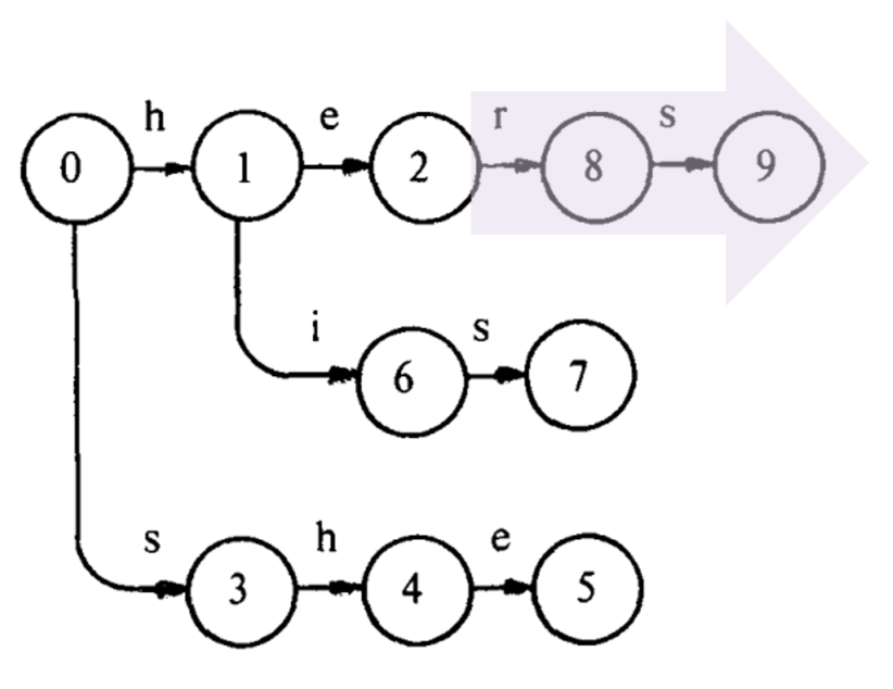
④ hers (he, she, his, hers)
h, e 까지 이어진 라인이 이미 있으므로 state 2 뒤에 r, s 를 추가해 마무리 해준다.

output()
output() 은 goto() 를 생성하는 시점에 생성한다. 한 검색 대상 단어 구축이 끝나는 시점에 마지막 state 값으로 매핑해준다.

논문에 나온 goto(), output() 구현 로직을 첨부한다.
Algorithm 2. Construction of the goto function.
Input. Set of keywords K = {Yl, Y2 ..... Yk}.
Output. Goto function g and a partially computed output function output.
Method. We assume output(s) is empty when state s is first
created, and g(s, a) = fail if a is undefined or if g(s, a) has
not yet been defined. The procedure enter(y) inserts into
the goto graph a path that spells out y.
begin
newstate ← 0
for i ← 1 until k do enter(Yi)
for all a such that g(O, a) = fail do g(O, a) ← 0
end
procedure enter(a1 a2 • • • am):
begin
state ← 0; j ← 1
while g(state, aj ) ≠ fail do
begin
state ← g(state, aj)
j ← j+l
end
for p ← j until m do
begin
newstate ← newstate + 1
g(state, ap) ← newstate
state ← newstate
end
output(state) ← {a1 a2 ...am}
end
failure()
failure() 의 역할은 어떤 state 에서 검색어 문자와 다르거나 마지막 state 라 더 이상 탐색할 수 없을 때 어디 state 로 갈 수 있을지 알려준다. output을 만드는 규칙은 간단하다. 세로 라인을 같은 Depth 라고 할 때, 이전 Depth 중에서 똑같은 문자를 가진 state 값을 고르면 된다.

failure() 은 key 가 state 므로 state 기준으로 돌아보자.
① state 1, state 3
설명의 편의를 위해 state 1 의 h 를 [1]h 로 표현하겠다.
[1]h, [3]s 는 애초에 1 Depth 므로 이전 Depth 가 없다. 그래서 둘 다 output 은 0 이다.

② state 2
[2]e 의 output 을 찾기 위해 1 Depth 를 살펴보았으나 e 가 없다. 그래서 output 은 0 이다.

③ state 4
[4]h 는 2 Depth 이다. 1 Depth 중에서 h 를 찾아보니 존재한다! 그러므로 output 은 1 Depth h 의 state 값인 1 이다.

④ state 5
[5]e 는 3 Depth 이다. 2 Depth 이하 중에서 e 가 존재한다. 그러므로 output 은 2 Depth e 의 state 값인 2 다.

state 6 ~ 8 은 위의 방법들과 동일하므로 생략한다.
⑤ state 9
[9]s 의 선택지는 [3]s, [7]s 2개가 있는데, 이런 경우 가장 처음 Depth 인 값을 골라준다. 그러므로 output 은 3 이다.

논문에 나온 failure() 구현 로직을 첨부한다.
Algorithm 3. Construction of the failure function.
Input. Goto function g and output function output from Algorithm 2.
Output. Failure function fand output function output.
Method.
begin
queue ← empty
for each a such that g(O, a) = s ≠ 0 do
begin
queue ← queue U {s}
f(s) ← 0
end
while queue ≠ empty do
begin
let r be the next state in queue
queue ← queue - {r}
for each a such that g(r, a) = s ≠ fail do
begin
queue ← queue U {s}
state ← f(r)
while g (state, a) = fail do state ← f(state)
f(s) ← g(state, a)
output(s) ← output(s) U output(f(s))
end
end
end
아호코라식 알고리즘에 대해 더 자세한 내용을 알고싶다면 아래 레퍼런스를 클릭해 논문을 읽어보는 것을 추천한다.
레퍼런스
http://cr.yp.to/bib/1975/aho.pdf
글 읽어주셔서 언제나 감사합니다. 좋은 피드백, 개선 피드백 너무나도 환영합니다.
'SearchDeveloper > 알고리즘' 카테고리의 다른 글
| 코사인 유사도 증명하기 (1) | 2024.12.07 |
|---|---|
| [아호코라식 (Aho-corasick) 알고리즘] 논문 이해하기 (3) - 성능 측정 (2) | 2024.07.24 |
| [아호코라식 (Aho-corasick) 알고리즘] 논문 이해하기 (1) - 검색 과정 (0) | 2024.04.12 |
| 편집 거리 알고리즘 이해하기 (0) | 2022.12.11 |
| ElasticSearch BM25 이해하기 (5) | 2022.08.25 |